Bimolecular Crystals of Fullerenes in Conjugated Polymers and the Implications of Molecular Mixing for Solar Cells

Figure 1
Figure 1: Diffraction data for pBTTT:PC[71]BM blends of varying weight ratio that have been annealed at 185 °C for 10 minutes. The annealing took place at the glass transition temperature of pBTTT in order to increase the molecular order. (a) 2D GIXS of pure pBTTT. (b) 2D GIXS of 1:1 pBTTT:PC[71]BM blend. (c) High resolution specular x-ray diffraction for a series of pBTTT:PC[71]BM blends. This confirms the expansion perpendicular to the substrate.

 

Organic photovoltaics have recently attracted tremendous attention in industry and academia since they offer the potential to significantly change energy production by drastically reducing the manufacturing cost for solar cells. Organic materials are flexible, lightweight and can be fabricated over large areas via low cost solution-based processing technologies. The most common solar cell implementation has a bulk-heterojunction (BHJ) blend as the active layer, where electron donor (typically, a light absorbing polymer) and acceptor (a fullerene) materials form a bicontinuous network as a result of self-assembly on the nanometer length-scale. Such cells have a reported power-conversion efficiency above 6%. A rapid increase in efficiency over the last decade was accomplished through materials design and morphology control. It has remained a puzzle, however, why some polymer:fullerene systems reach optimal morphology and efficiency at equal parts polymer and fullerene and other systems optimize at around 80% fullerene content. Little is known about what material properties are responsible for determining the optimal blend ratio.

Stanford and SLAC researchers have recently investigated a highly crystalline polymer that reaches optimal solar cell efficiency at 80% fullerene content. X-ray diffraction measurements (see figure 1) performed at the Stanford Synchrotron Radiation Lightsource (SSRL) have shown the existence of a highly ordered bimolecular crystal (a structure wherein two distinct chemical species arrange in an ordered fashion on a lattice). This crystal forms when the fullerene molecule intercalates between the side-chains of the semi-crystalline polymer (see figure 2). While such co-crystals of fullerenes and small organic molecules have been observed before, this is, to our knowledge, the first report of a fullerene-polymer co-crystal. Furthermore, this unexpected intercalation is observed in several polymer:fullerene blends and suggested by the researchers for several others. These results explain the origin of the optimal 1:4 blending ratio in these blends: this ratio yields a two phase film that consists of the bimolecular crystal and a pure fullerene phase with approximately equal volumes, while for a blend ratio of ~1:1 only the pure bimolecular crystal forms.

This research shows that the rational design of polymers for BHJ solar cells must consider the possibility of bimolecular crystal formation in efforts to push the efficiency higher. These discoveries further suggest a method of intentionally designing bimolecular crystals and tuning their properties to create novel materials for photovoltaic and other applications such as LEDs, LASERs and biosenors.

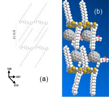
Figure 2
Figure 2: Possible bicrystal structure showing the effect of PC[71]BM intercalation on the crystal lattice of pBTTT. (a) pristine pBTTT (b) Schematic of intercalated pBTTT:PC[71]BM. The PC[71]BM is placed within the intercalated pBTTT:PC[71]BM in order to agree with the d-spacings found in x-ray scattering. The lattice axes are shown in the lower left corner for reference.

The research team has specifically studied thin film BHJs of poly(2,5-bis(3-tetradecyllthiophen-2-yl)thieno[3,2-b]thiophene) (pBTTT) and either phenyl-c61-butyric acid methyl ester (PC[61]BM) or phenyl-c71-butyric acid methyl ester (PC[71]BM). pBTTT is a well-ordered semicrystalline polymer that has high charge carrier mobility (see SSRL highlight on Highly Oriented Crystals in Polythiophenes for details). The 1:1 pBTTT:PCBM blends had a solar cell efficiency of only 0.16%, while 1:4 blends had an efficiency of 2.35%. X-ray diffraction measurements on SSRL beam lines 7-2, 2-1 and 11-3 were conducted to understand these unexpected results. Typical data are shown in Fig. 1 for pure pBTTT and a series of pBTTT:PC[71]BM blends of varying weight ratio. These specular scans (fig. 1c) demonstrate the shift in the lattice perpendicular to the substrate as PC[71] BM is added. The specular x-ray pattern for the pristine pBTTT film (black line) shows that the d-spacing is 21.15 Å. The scan for the 4:1 blend (green line) shows the presence of a shifted peak for the 10:1 blend (shifted due to defects in the PBTTT), but most importantly, a new peak emerges with an expanded d-spacing of 30.2 Å. With the addition of more fullerene, the peak corresponding to the intercalated lattice increases in intensity and the 22.1 Å peak associated is completely suppressed at a blending ratio of 1:1. The existence of two sets of peaks shows that the fullerenes are not distributed uniformly throughout the film, but form distinct phases: pure pBTTT and the pBTTT:PC[71]BM intercalated phase. We use the subscript "p" to refer to the pristine pBTTT lattice, while the intercalated phase peaks are noted with the subscript 'i'.

Additional diffraction data were obtained using 2D grazing incidence x-ray scattering (2D GIXS) for several pBTTT:PC[71]BM blends. The 2D GIXS for a pristine pBTTT film (Fig. 1a) is consistent with the literature and displays several diffraction peaks along the vertical slice at q|| ≈ 0. These peaks are (100)p, (200)p, etc. and correspond to a lamellar d-spacing of 21.15 Å, consistent with the higher resolution data in Fig 1c. The scattering for pristine pBTTT also exhibits two vertical streaks at q|| equal to 1.41 Å-1 and 1.71 Å-1 corresponding to the intramolecular (003)p and the pi-stacking (010)p, respectively. The 2D GIXS pattern for a 1:1 pBTTT:PC[71]BM blend, shown in Fig. 1b, is significantly different from the pattern for the pristine film in that the peaks along the vertical slice at q|| ≈ 0 are shifted and now correspond to the d-spacing of 30.2 Å. There are several new streaks that appear along q|| with the strongest at 0.49 and 0.67 Å-1 and a broad, mixed index peak at q|| = 1 Å-1 and qz = 0.8 Å-1. The 2D GIXS pattern for the 1:4 pBTTT:PC[71]BM blend contains these peaks which we associate with the intercalated lattice as well as a halo around 1.4 Å-1. This halo corresponds to a pure amorphous PC[71]BM phase that arises when phase separation occurs. The absence of the fullerene halo in the 2D GIXS pattern for the 1:1 blend is additional evidence for the fullerene being intercalated between the polymer side-chains.

We attribute the ~9 Å increase in the d-spacing normal to the substrate (21.1 to 30.2 Å) to the intercalation of the PC[71]BM in between the side-chains of the pBTTT. A space-filling schematic of pBTTT and PC[71]BM drawn to scale is shown in Fig 2(b) and demonstrates how the side-chain spacing along the polymer backbone allows for this. A preliminary unit cell is assigned based on the diffraction data: a triclinic lattice with a = 30 Å, b = 9.9 Å, c = 13.5 Å, a = 72°, B ≈ 90°, and g ≈ 90°. This is in contrast to the reported orthorhombic pBTTT lattice of a = 22.15 Å, b= 3.67 Å, and c = 13.37 Å (although it appears the lattice is actually triclinic with a = 19.6 Å, b = 5.4 Å, c = 13.6 Å, a = 136°, B = 84° and g = 86°). The preliminary bimolecular lattice preserves the intramolecular (c axis) spacing, but there is a doubling along the b-axis due to the presence of the PCBM; hence, there are two polymer molecules along the b direction. A more detailed structural analysis is in progress at SSRL.

For all the polymers studied by the Stanford/SLAC research team, they found that if there was ample room between the polymer side-chains, then polymer:fullerene intercalation occurred. It is, however, not yet clear if intercalation is desirable for solar cell devices. It will be necessary to adjust the position of fullerenes and other electron acceptors with different shapes and sizes to determine if intercalation is beneficial for solar energy conversion. None-the-less, our findings suggest that separate models of recombination should be developed for the two different kinds of cells that form depending on whether or not intercalation occurs.

Primary Citation

"Bimolecular crystals of fullerenes in conjugated polymers and the implications of molecular mixing for solar cells", A.C. Mayer, M.F. Toney, S.R. Scully, J. Rivnay, C.J. Brabec, M. Scharber, M. Koppe, M. Heeney, I. McCulloch, M.D. McGehee, Adv. Func. Mater. 19, 1173-1179 (2009).

Published Date
Contacts
Experimental Stations
BL2-1