Effect of Local Coordination in the Photoluminescence Properties of Er-doped Y2O3 Thin Films

Miniaturizing the erbium-doped optical fiber amplifier (~20 m in length) into a small, compact amplifier that can be integrated with other optical and electronic devices on a single chip (optoelectronics) offers great promise in optical communication as an alternative to the electronic technology.1,2, The gain of these miniaturized devices is limited by the solubility, concentration, and distribution of optically-active Er3+ in a host material. 3 While incorporation of a high concentration of erbium is possible by ion implantation, the method does not allow for the control of spatial distribution or the activation of the ions in the host. This is critical at high Er concentrations, since non-radiative processes resulting from ion-ion interactions become dominant and significantly reduce the photoluminescence (PL) yield.

In this work, we demonstrated radical-enhanced atomic layer deposition (RE-ALD) as a viable technique to synthesize Er3+-doped dielectric thin films with a precise control of its concentration and spatial distribution, thus tailoring the PL property of Er3+ doped waveguides. Since the optically-active Er needs to be in the trivalent state, showing highest photoluminescence efficiency when coordinating with approximately six O atoms as in crystalline Er2O3, Y2O3 was chosen as the host material due to its identical crystal structure and very similar lattice constant to Er2O3.4-5 In this case, typical problems such as lattice distortion and vacancy formation which are detrimental to the PL yield can essentially be eliminated. The thin film deposition was carried out in an ultra-high vacuum multi-beam reactor in which metal b-diketonate complexes and oxygen radicals were introduced independently and sequentially. Incorporation of Er in Y2O3 thin films at 350°C was accomplished by combining the self-limiting RE-ALD of Y2O3 and Er2O3 in an alternating fashion, with the Er doping level at a specific depth location controlled by varying the ratio of Y2O3:Er2O3 cycles during deposition.

Figure 1
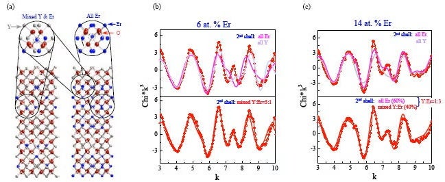
Figure 1. (a) Proposed structures of Y2O3 films doped with low and high concentrations of Er3+, (b) EXAFS analysis of a 6 at.% Er3+ doped Y2O3 thin film, and (c) EXAFS analysis of a 14 at.% Er3+ doped Y2O3 thin film.

The nanostructure of Er-doped Y2O3 thin films was investigated by using a high-resolution transmission electron microscopy (HRTEM) and electron energy loss spectrometry (EELS). Specifically, the distribution of Er separated by layers of Y2O3 was confirmed by elemental EELS mapping of Er M4 and M5, with the Er concentration controlled from 6 to 14 at.%, determined by X-ray photoelectron spectroscopy (XPS). This unique feature is characteristic of the alternating RE-ALD of Y2O3 and Er2O3. The photoluminescence yield was found to reduce by at least one order of magnitude when the Er doping level exceeded 8 at.%. This photoluminescence quenching, also commonly known as concentration quenching, is attributed to two main processes: Er immiscibility in the host matrix and/or Er ion-ion interaction. To delineate the origin of this photoluminescence reduction, we applied X-ray absorption near-edge spectroscopy (XANES) and extended X-ray absorption fine structure (EXAFS) analyses.

X-ray absorption near edge spectroscopy (XANES) study using the Er LIII edge at 8358 eV confirmed that Er was in the optically active trivalent state (Er3+), having an octahedral symmetry similar to Er in Er2O3. No other chemical state was found up to at least 14 at.%, indicating no formation of Er precipitate which is optically inactive. To obtain further insight into the Er local coordination, three different 4-Å local cluster models were constructed, corresponding to three different possible Er configurations in the Y2O3 thin film. In all three models, the first shell is O while the second shell can be all Er3+ (first model), all Y3+ (second model), or a mixture of Y3+ and Er3+ (third model). Because of the almost perfect crystal structure match between Y2O3 and Er2O3, the simulation of the Er-doped Y2O3 local structure was simply accomplished by replacing Y3+ with Er3+ in the Y2O3 lattice. Shown in Figure 1a (left) is a pictorial view of the Er-doped Y2O3 structure at low Er concentration. In this case, the center absorbing Er has a second coordination shell with a mixture of both Er and Y. At high Er concentration where the alternating growth of Y2O3 and Er2O3 resulting in an exsolution with Er2O3-rich domains (Figure 1a, right), the Er local environment is described by combining the first and third model.

Shown in Figure 1b are the k3-weighted EXAFS of the Y2O3 thin films doped with 6 at.% Er, representing samples with high photoluminescence yield. The best fit to the EXAFS using the 1st and 2nd model agreed fairly well with the EXAFS up to k ~ 6 Å-1, mainly from the first O shell, but failed to describe the oscillations at higher k (Figure 1b top). This indicates that the second nearest neighbors are neither all Er3+ in which case the local environment of Er3+ would be similar to that of Er3+ in Er2O3, nor all Y3+ which would otherwise indicate an infinite dilution of Er3+ in Y2O3. A best fit to the EXAFS was achieved with the third model (Figure 1b bottom) when the Y:Er cation ratio is specified to be 3:1, as determined by XPS compositional analysis In this case, a coordination number of 6 for the first O shell and 8-9 for the second shell were obtained. Furthermore, Er3+ was found to be completely miscible in the Y2O3 matrix up to at least 8 at.%, showing no evidence of Y2O3 and Er2O3 phase segregation. There is also no indication of Er-Er coordination within 4-Å proximity.

For the 14 at.% Er-doped Y2O3 thin film, representing samples with low photoluminescence yield, a combination of the first (~60%) and third model (~40%) best fitted the EXAFS spectrum (Figure 1c), with the Y:Er cation ratio specified at 1:3, as determined by XPS. This is consistent with the alternating RE-ALD process, resulting in a layer-like structure under these deposition conditions. Since there is no indication of Er-Er coordination in all samples doped with 6 to 14 at.% Er3+, it is concluded that the photoluminescence quenching observed in samples with Er concentration exceeding 8 at.% is not due to Er immiscibility in Y2O3 but likely due to Er ion-ion interaction. When the Er3+ concentration is sufficiently small, the ions are evenly distributed in the Y2O3 matrix with relatively large inter-ionic distances, impeding ion-ion interaction. Consequently, the photoluminescence yield is relatively high in the absence of these competing processes. As the Er3+ concentration increases, there is more Er3+ within a 4-Å proximity of each other that they can interact, resulting in cooperative energy upconversion or energy migration, leading to reduced photoluminescence yield.

Using EXAFS, the origin of the observed concentration quenching of photoluminescence for the Er3+:Y2O3 system was delineated. The study also suggests that, in order to prevent ion-ion interaction, no Er3+ should have another Er3+ as a second nearest neighbor. This criteria sets an upper limit on the Er3+ concentration in the Y2O3 host at ~6x1021/cm3, or ~10 at.%, estimated by systematically replacing Y3+ in the Y2O3 unit cell by Er3+ while ensuring there is no direct Er-O-Er bonding. These results are essential to the understanding of the Er3+ optical properties in correlation to its local structure, allowing for the optimization of the photoluminescence yield by controlling its distribution in the host lattice.

Primary Citation

T.T. Van, Bargar, J.R., and Chang, J.P. (2006) Structural investigation of Er coordination in Y2O3. J. Applied Physics 100, 023115

References
  1. E. Desurvire, Erbium-doped Fiber Amplifiers: Principles and Applications (John Wiley & Sons, Inc., New York, 1994).
  2. A. Polman and F. C. J. M van Veggel, J. Opt. Soc. Am. B 21, 871 (2004).
  3. F. Auzel, in Spectroscopic Properties of Rare Earths in Optical Materials, 1st edition, edited by G. Liu & B. Jacquier (Springer, New York, 2005), Vol. 83, Chap. 5, p.266.
  4. D. J. Eaglesham, J. Michel, E. A. Fitzgerald, D. C. Jacobson, and J. M. Poate, Appl. Phys. Lett. 58, 2797 (1991).
  5. E. C. M. Pennings, G. H. Manhoudt, and M. K. Smit, Electron. Lett. 24, 998 (1988).
Published Date
Contacts
Experimental Stations
BL11-2