Advances in accelerator technology have been the driving forces of the progress toward brighter synchrotron radiation sources, with scientific applications developing in response to the availability of new sources. The rate of improvement in source capability has been tremendous: for 30 years x-ray source brightness has been increasing exponentially with a doubling time of about 10 months leading to the new Self-Amplified Spontaneous Emission Free-Electron Lasers (SASE FELs or X-Ray Lasers), a source more than ten orders of magnitude brighter and two orders of magnitude shorter than today's synchrotron-based sources.
In a SASE FEL, lasing is achieved when a high-brightness electron beam interacts with an intense beam of light while traveling through the periodic magnetic field of an undulator. Under the right conditions, the electrons in the bunch, which are initially randomly distributed, acquire a longitudinal density modulation at the optical wavelength leading to coherent emission and to a large enhancement of radiation power. The net result is an exponential increase of radiated power. This increase will eventually saturate at power levels orders of magnitude above conventional undulator radiation. The radiation pulses produced by the SASE FEL are of sub-picosecond duration and fully transversely coherent.
Present state of the art synchrotron radiation sources routinely deliver intense photon beams over a wide spectral range from infrared to x-rays in pulses of 30-50 ps duration, and it does not seem feasible to deliver much shorter pulses without sacrificing other performance characteristics of the radiation. Linac-based SASE FELs, like the Linac Coherent Light Source (LCLS) [1] planned for construction at the Stanford Linear Accelerator Center (SLAC), or the European XFEL Laboratory [2], promise to deliver pulses of 200-fs duration with a peak brightness ten orders of magnitude greater than presently achievable in synchrotron radiation sources.
There is a growing interest within the community of synchrotron radiation and free-electron laser users in the availability of even shorter pulses as experimental probes in several fields of research that include structural studies of single biomolecules, x-ray diffraction from a single protein molecule, and femtosecond chemistry. The interest in femtosecond pulses lies in the fact that electron transfer reaction dynamics in atomic and molecular systems, providing information about the most basic reaction mechanisms in chemistry (e.g., forming and breaking chemical bonds), biology, and soft/condensed matter physics, are on the femtosecond scale (see e.g., [3 ]).
While proposals exist to produce femtosecond pulses from FELs [4,5 ], these proposals typically require significant changes to the facility design. The new Emittance Spoiler Foil that is presented in publication [6] is a simple method, applicable to nearly any linac-based FEL, to select a narrow time-slice out of the electron bunch to generate very short duration x-ray free-electron laser radiation via the SASE process. This method takes advantage of the fact that the SASE gain process is highly sensitive to the transverse emittance over a slippage length of the electron beam, with emittance describing the position-momentum phase-space area occupied by the ensemble of particles that constitutes the beam. The slippage length, which is normally much shorter than the electron bunch length, is defined as the number of periods times the radiation wavelength. For example, at the shortest FEL radiation wavelength of 1.5 Å produced by the 3700-period-long LCLS undulator, the slippage length is only about 1.2 fs, much shorter than the length of the electron beam of about 200 fs. Spoiling the emittance of most of the beam while leaving a very short unspoiled time-slice will produce an x-ray FEL pulse much shorter than the full electron bunch.
The method relies upon the fact that in a magnetic bunch-compressor chicane (made of four bending magnets) the beam is tilted at a large angle relative to the longitudinal axis, t (see Fig. 1). At the point of maximum tilt (center of the chicane) a thin foil is placed in the path of the beam. The foil has a vertically oriented narrow slot at its center. The coulomb scattering of the electrons passing through the foil increases the horizontal and vertical emittances of most of the beam, but leaves a very thin unspoiled slice where the beam passes through the slit.
The advantage of this differential spoiling scheme over particle collimation is that the entire electron bunch is allowed to propagate through the linac, allowing normal function of critical beam diagnostics and trajectory stabilization with feedback systems. Also, collimator-edge wakefields, that can easily degrade electron beam brightness, are avoided.
Detailed computer simulations of the accelerator with 200,000 macro-particles have been carried out to evaluate the performance of the slotted spoiler using the tracking code Elegant [7 ]. The simulations include multiple coulomb scattering [8] in a very thin (Δz 15 µm) slotted Beryllium foil. The choice of Beryllium keeps the foil reasonably thick and provides an average of >20 scattering interactions per electron, although a 10-µm Carbon foil is another possible choice. Also included in the tracking is the coherent synchrotron radiation (CSR) of the short electron bunch in the bending magnets of the chicane, the spontaneous (incoherent) radiation of the bending magnets, the linac wakefields, and a model for the transition radiation wakefield [9] of the foil, which adds an insignificant emittance growth and energy spread to the unspoiled beam slice. The electron bunch was tracked through the photo-injector, passed through the slotted foil with its scattering and wakefield, and acceleration in the linac up to the start of the FEL undulator. The predicted distribution of particles just before entering the undulator is shown in Figure 2, where a small spike at the center of the bunch is due to the slot in the foil. The large leading and trailing spikes are a normal feature of the LCLS due to the slight non-linear x-t correlation. These will not be amplified by the FEL since they are spoiled by the foil. The central spike, however, is the result of electrons near the edge of the slit scattering in the foil.
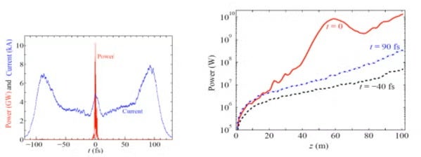
The particle distribution in Figure 2 is used in the three-dimensional FEL code GENESIS 1.3 [10 ] to characterize the FEL performance. Figure 3 shows a 2 fs fwhm FEL x-ray pulse at saturation (z ≈ 60 m) along with the 200-fs long electron current pulse. The nearly imperceptible baseline power is dominated by the spontaneous undulator radiation emitted from the 200-fs long electron bunch. Figure 4 shows the radiated power varying along the undulator length for three values of t, where t = 0 is the unspoiled slice (saturating at z ≈ 60 m). The number of 8-keV photons in this 2-fs, 10-GW pulse is estimated to be 1.6x1010.
Fig 4: GENESIS simulation showing radiation power for three values of t, varying along the undulator length.
It is also possible to push the machine parameters to achieve sub-femtosecond pulses in the LCLS by further compressing the electron bunch to 120 fs fwhm, rather than the nominal 200 fs fwhm. This can provide a 1-fs fwhm unspoiled electron pulse length. To achieve this 1-fs electron pulse, the intrinsic rms relative energy spread must be < 10-5 rms at chicane entrance. This requirement has had some verification in simulations and measurements [11]. At 1 fs, the unspoiled electron bunch length is comparable to the FEL slippage length and the assumption of a localized gain, discussed above, is no longer applicable. This requires a full FEL simulation with GENESIS 1.3, which takes into account radiation slippage and shows the 1-fs length of unspoiled electrons is gain-narrowed near FEL saturation. Detailed studies for this more extreme configuration are described in [12]. The shortest possible x-ray pulse length generated by this technique, as well as other techniques, is limited by the intrinsic bandwidth of the SASE process. In the case of the LCLS, the rms SASE bandwidth near saturation is 5x10-4, indicating a 0.3-fs coherence time determined by the time-bandwidth product. Reducing the pulse length of the unspoiled electron bunch on this level, which appears to be possible, will generate a single coherent x-ray spike of about 300 attoseconds.
Primary Citation
P. Emma, K. Bane, M. Cornacchia, Z. Huang, H. Schlarb, G. Stupakov and D. Walz, "Femtosecond and Subfemtosecond X-ray Pulses from a Self-Amplified Spontaneous-Emission-Based Free-Electron Laser", Phys. Rev. Lett. 92, 07481 (2004)
References
- LCLS Conceptual Design Report, SLAC-R-593 (2002).
- TESLA Technical Design Report, DESY TESLA-FEL 2001-05 (2001).
- R. Neutze et al., Nature 406 752-757 (2000); M. Drescher, et al., ibid. 419 803-807 (2002).
- E.L. Saldin, E.A. Schneidmiller and M.V. Yurkov, Opt. Commun. 212, 377 (2002).
- S. Reiche, P. Emma, and C. Pellegrini, Nucl. Instrum. Methods A507, 426-430 (2003).
- P. Emma et al., "Femtosecond and Subfemtosecond X-Ray Pulses from a Self-Amplified-Spontaneous-Emission-Based Free-Electron Laser," Phys. Rev. Lett. 92, 074801 (2004).
- M. Borland, Elegant, Advanced Photon Source LS-287, Sep. 2000.
- W.R. Leo, Techniques for Nuclear and Particle Physics Experiments, (Springer-Verlag, Berlin, 1994).
- K.L.F. Bane and G. Stupakov, "Transition Radiation Wakefields for a Beam Passing through a Metallic Foil", SLAC-PUB-9726, June 2003
- S. Reiche et al., Nucl. Instrum. & Methods, A483 (2002) 70.
- M. H uning and H. Schlarb, "Measurement of the Beam Energy Spread in the TTF Photoinjector", Proc. of the PAC'03, Portland, OR (IEEE, Piscataway, NJ, 2003
- P. Emma et al., to be published.