Femtosecond Lattice Dynamics in Photoexcited Bismuth

One of the grand challenges of ultrafast science is to follow directly atomic motion of a photo-induced reaction on the fastest time-scales and the shortest distances—those associated with the atomic vibrations and the making and breaking of the interatomic bonds. This is the regime that ultimately governs chemistry and materials characteristics.

X-ray bursts produced from a free electron laser promise to be an ideal probe to meet this challenge because of their atomic-scale structural sensitivity and ultra-short pulse duration, which can "freeze" the atomic motion stroboscopically [1]. However, significant technical advances are needed before these sources can be used to make an atomic movie of the fastest events. In particular, the optical laser pulse used to trigger the reaction in these classes of experiments must be precisely timed with the x-ray pulses that are used to take atomic "snap-shots".

Using the ultra-short x-ray pulses of the Sub-Picosecond Pulse Source (SPPS) and a novel timing method, we observed the femtosecond response of a bismuth solid following intense photoexcitation of charge carriers. Our results provide insight into the fundamental interaction between the electronic states and the microscopic atomic arrangements of the solid. Furthermore, we demonstrated the ability to synchronize an optical laser to a linear accelerator based x-ray source with femtosecond accuracy.

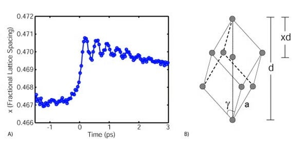
Bismuth is a material that shows very strong coupling between electronic and ionic structure. It is a model system that demonstrates a rich variety of ultrafast dynamics in the limit of high density excitations, such as extremely large phonon amplitudes, electronic softening and phase transitions. Using time-resolved x-ray diffraction techniques, we monitored the atomic positions within the bismuth unit cell as a function of time in response to impulsive photoexcitation of carriers (Figure 1). Coherent lattice oscillations were observed similar to those previously seen in a pioneering laser plasma based x-ray diffraction experiment [2]. However, the comparatively large x-ray fluence of the SPPS resulted in a significant improvement in data quality as well as enabled carrier density dependent studies.

Figure 1
Figure 1: A) Normalized atomic coordinate as a function of time delay for a photoexcitation fluence of 1.2 mJ/cm2. B) Crystallographic structure of bismuth: a is the lattice constant, g is the shear angle, d is the body diagonal, and x is the basis atom separation normalized to the body diagonal.

We were able to quantify the oscillation frequency and the lattice coordinate the oscillations are occurring about from the time-resolved data. With this information we extrapolated the curvature and minima positions of the double well interatomic potential of bismuth as a function of photoexcited carrier density. Our results were compared to previous density functional calculations of the photoexcited system and are in agreement [3].

Electro-optic sampling methods were used to time the excitation laser pulse with the x-ray probe pulse [4]. In this technique, the electric field of the electron bunch that generated x-rays at the SPPS is used to alter the optical properties of an electro-optic crystal (Figure 2). This alteration is probed with a portion of the optical laser that is used to photoexcite the bismuth sample in crossed-beam geometry. Only the portion of the laser that is propagating within the electro-optic crystal when the electric filed is present will be altered. In this manner, the arrival time of the electron bunch is encoded onto spatial profile of the optical laser. The centroid of the electro-optic feature is used to time stamp each x-ray pulse and the data is compiled accordingly.

Figure 2
Figure 2: A) A) To time-stamp the arrival of each x-ray pulse, researchers use an electro-optic crystal (green) placed next to the electron beam (white) in the linear accelerator just before the beam produces x-rays. A laser (red) probes changes in the crystal to measure the exact time the beam passed by. The image was created by Jean Charles Castagna, SLAC. B) One hundred consecutive electro-optic signals.

These measurements have furthered our understanding of bismuth dynamics far from equilibrium. Our experiments provide the first quantitative characterization of the curvature and quasi-equilibrium position of the interatomic potential of a solid close to a free-carrier induced phase transition. From this, we showed that the electronic softening of the potential is the primary factor determining the frequency of the lattice vibrations. The experiments also demonstrate the successful implementation of an electro-optic timing diagnostic. This technical advancement enabled us to perform femtosecond resolution experiments at a linear accelerator based x-ray source.

The experiments were carried out by a collaborative team from 20 different institutions. Portions of this research were supported by the U.S. Department of Energy, Office of Basic Energy Science through direct support for the SPPS and the SSRL. Additional support was received by the Swedish Research Council for Science, the Irish Research Council for Science, the Keck Foundation, the Deutsche Forschungsgemeinschaft, the European Union RTN FLASH, the Austrian Academy of Science, the Stanford PULSE center and the NSF FOCUS frontier center.

Primary Citation

D. M. Fritz, D. A. Reis, B. Adams, R. A. Akre, J. Arthur, C. Blome, P. H. Bucksbaum, A. L. Cavalieri, S. Engemann, S. Fahy, R. W. Falcone, P. H. Fuoss, K. J. Gaffney, M. J. George, J. Hajdu, M. P. Hertlein, P. B. Hillyard, M. Horn-von Hoegen, M. Kammler, J. Kaspar, R. Kienberger, P. Krejcik, S. H. Lee, A. M. Lindenberg, B. McFarland, D. Meyer, T. Montagne, É. D. Murray, A. J. Nelson, M. Nicoul, R. Pahl, J. Rudati, H. Schlarb, D. P. Siddons, K. Sokolowski-Tinten, Th. Tschentscher, D. von der Linde and J. B. Hastings. 'Ultrafast Bond Softening in Bismuth: Mapping a Solid's Interatomic Potential with X-rays', Science 315, 633 (2007).

References
  1. R. F. Service, Science 298, 1358 (2002).
  2. K. Sokolowski-Tinten, et al., Nature 422, 287 (2003).
  3. É. D. Murray, et al., Phys. Rev. B 72, 060301(R) (2005).
  4. A. L. Cavalieri, et al., Phys. Rev. Lett. 94, 114801 (2005).
Published Date
Contacts