Hunting the Spectroscopic Signature of Tc in Cuprate Superconductors

Superconductors, materials capable of conducting electricity without loss, are important for a variety of technological applications from magnetic resonance imaging to quantum computing. From a practical perspective, one of the key parameters of a superconductor is its critical temperature (Tc), the phase transition temperature below which perfect conduction occurs. In order to make better superconductors with higher Tc, it is important to understand the mechanism behind superconducting transitions.

Image
tc_bi2212
Figure 1. ARPES spectra of Bi2212 from near antinode (leftmost column) to near node (rightmost column) measured at 95 K (top), 85 K (middle), and 65 K (bottom). The superconducting transition is at 77 K.

In conventional superconductors, the physics of the transition is well captured by the Bardeen-Cooper-Schrieffer (BCS) theory. At low temperature, electrons near the Fermi level form Cooper pairs because of an attractive interaction mediated by phonons. These pairs further form a phase-coherent state, which is both superconducting and perfectly diamagnetic. With increasing temperature, the binding energy of Cooper pairs decreases. As this energy reaches zero, the pairs cease to exist, and superconductivity disappears. Experimentally, the superconducting gap, an indicator of the Cooper-pair binding energy, can be measured using electron spectroscopy such as tunneling and photoemission. As the gap closes, corresponding anomalies can also be found in macroscopic observables, most notably, a jump in the electronic specific heat at Tc.

Image
tc_bi2212
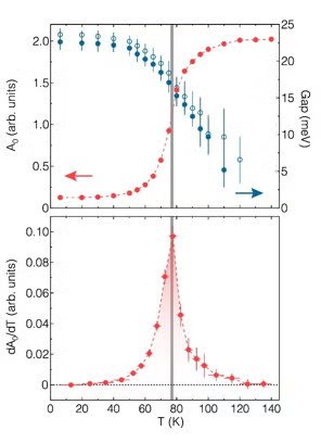
Figure 2. Temperature evolution of the superconducting gap size and in-gap spectral intensity (A0) in Bi2212 (top). While the gap size evolves smoothly, the temperature derivative of A0 (bottom) peaks at the superconducting transition marked by the vertical grey line.

The picture is less clear in the cuprate superconductors, the current record holder for highest Tc under ambient pressure. Here, superconductivity still requires the coherent condensation of Cooper pairs. As such, the disappearance of either the Cooper pairs or the phase coherence among them would kill superconductivity. Experimentally, a partial energy gap was found at temperatures above Tc. Dubbed the “pseudogap”, it was initially viewed as evidence for the existence of Cooper pairs above Tc and thus a superconductor-to-metal transition driven by phase decoherence. However, various other broken symmetry states were discovered later on in a similar temperature-doping region where the pseudogap exists. This seems to suggest that the pseudogap is caused by one or several of such states instead of superconductivity. Over time in the cuprate community, the word “pseudogap” itself became a synonym for the density of state suppression not directly associated with superconductivity. Meanwhile, the nature of the superconducting transition remains debated.

To address this long-standing question, researchers from Stanford University and SLAC National Accelerator Laboratory carried out an angle-resolved photoemission spectroscopy study, in collaboration with scientists from University of California, Berkeley, the National Institute of Advanced Industrial Science and Technology in Japan, and Leiden University in the Netherlands. The progress was made possible by several key improvements in the design of the experiment and the measurement technique. To probe intrinsic effects associated with superconductivity, the study focused on overdoped (Bi,Pb)2Sr2CaCu2O8+δ (Bi2212), where the pseudogap and other broken symmetry states are expected to be negligible if not nonexistent. To achieve the best possible precision, both synchrotron-based and laser-based setups were employed to optimize the energy resolution at different momenta, detector nonlinearity was calibrated and corrected in large dynamic ranges, local heating manipulators were used to prevent sample surface degradations in temperature scans, and high-quality crystals with sharp superconducting transitions were prepared to avoid artifacts from macroscopic Tc inhomogeneity. In short, the experiment was an ARPES tour de force.

The data obtained in the experiment (see for example Figure 1) revealed the temperature evolution of electronic structure with fine details. First, the gap was observed at temperatures above Tc. By successfully retrieving weak signals above the Fermi level, the researchers found that the gap obeys particle-hole symmetry at all momenta. This symmetry is intrinsic to superconductors but incompatible with density waves or magnetic orders given the cuprate band structure. The observation thus indicates that the gap has a pure superconducting character, establishing overdoped Bi2212 as a clean platform for the study of superconductivity.

With a persisting pure superconducting gap above Tc (Figure 2 top panel), the following question is what the spectroscopic signature of the superconducting transition is. Since the transition is known to be accompanied by a peak in the electronic specific heat, the researchers estimated the same thermodynamic quantity by assuming that the ARPES-measured electron distribution corresponds to the distribution of quasiparticles in the presence of slow phase fluctuations. The specific heat derived from ARPES was found to qualitatively agree with previous bulk results, unifying the thermodynamic and spectroscopic perspectives on the phase transition. Moreover, using the full information from spectroscopy, the authors further demonstrated that the thermodynamic anomaly arises from a sharp growth of in-gap spectral intensity across Tc (Figure 2 bottom panel). The momentum and temperature evolutions of in-gap intensity were found to be consistent with theoretical predictions for a phase-ordering superconducting transition in the cuprates. As such, the results support the scenario that Tc is directly limited by the phase coherence among Cooper pairs.

To summarize, the work highlighted here completes the experimental phenomenology of the superconducting transition in cuprates and suggests that Tc is directly set by phase coherence. It provides a solid foundation for further investigations regarding the microscopic mechanisms of Cooper pairing and the origin of the pseudogap.

Primary Citation

S.-D. Chen, M. Hashimoto, Y. He, D. Song, J.-F. He, Y.-F. Li, S. Ishida, H. Eisaki, J. Zaanen, T. P. Devereaux, D.-H. Lee, D.-H. Lu and Z.-X. Shen, "Unconventional Spectral Signature of Tc in a Pure d-wave Superconductor", Nature 601, 562 (2022) doi: 10.1038/s41586-021-04251-2

Published Date
Contacts
Experimental Stations
BL5-4
Techniques
Angle-resolved photoelectron spectroscopy
PDF Version