Approximately 1,700 scientists visit SSRL annually to conduct experiments in broad disciplines including life sciences, materials, environmental science, and accelerator physics. Science highlights featured here and in our monthly newsletter, Headlines, increase the visibility of user science as well as the important contribution of SSRL in facilitating basic and applied scientific research. Many of these scientific highlights have been included in reports to funding agencies and have been picked up by other media. Users are strongly encouraged to contact us when exciting results are about to be published. We can work with users and the SLAC Office of Communication to develop the story and to communicate user research findings to a much broader audience.
Science Highlight Archive Science Highlight Banner Images
A Fern Fatale - X-ray Absorption Spectroscopy Imaging of an Arsenic-Loving Fern

The toxicity of arsenic is widely known, but perhaps less widely appreciated is that it's the level of toxicity critically depends on the chemical form.
Femtosecond Diffractive Imaging with a Soft-X-ray FEL

Scientists have for the first time used an extremely short and intense coherent soft x-ray laser pulse to successfully obtain a high-resolution image of a nano-scale object before the sample was destro
Where Water is Oxidized to Dioxygen: Structure of the Photosynthetic Mn4Ca Cluster

Billions of years ago, primitive bacteria developed a way to harness sunlight to split water molecules into protons, electrons and oxygen-the cornerstone of photosynthesis.
Structural Sequestration of Uranium in Bacteriogenic Manganese Oxides

Uranium contamination is a major concern at Department of Energy sites and decommissioned mining and ore processing facilities around the U.S.
In Situ Biological Uranium Remediation within a Highly Contaminated Aquifer

Uranium (U) contamination of ground and surface water is a serious problem in many parts of the world.
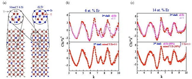
Effect of Local Coordination in the Photoluminescence Properties of Er-doped Y2O3 Thin Films

Fiber optic communication relies on the strength of a signal of light to deliver information, but over long distances that signal becomes dim and can lose its integrity.
The Elusive Active Fold of a Catalytic RNA: A Crystal Structure of a Full-Length Hammerhead Ribozyme

Genes, which are made of nucleic acids (DNA or RNA) contain the instructions for how to make proteins, but still enzymes made of proteins are needed to replGenes, which are made of nucleic acids (DN
Holey Germanium - New Routes to Ordered Nanoporous Semiconductors

Porous nanoscale materials often have useful properties because of their proportionally large surface areas.
An Octahedral Coordination Complex of Iron(VI)

Chemists have synthesized and characterized a new, highly reactive form of iron that promises to deepen our understanding of this important element.
Crystal Structure of Iron-dependent Halogenase

After years of wondering how organisms managed to create medically valuable natural products, like antibiotics and anti-fungal agents, chemists have discovered the surprisingly simple secret by shining
Pagination
Collaborate on Science Highlights
We can work with users and the SLAC Office of Communication to develop the story and to communicate user research findings to a much broader audience.